Прежде чем начать «Что такое машинное обучение (ML)?», Давайте начнем с того, чем ML не является и чем оно отличается от традиционного программирования.


Не запоминайте все элементы на приведенной выше диаграмме. Просто сосредоточьтесь на разнице в том, что программирование генерирует вывод как результат, а ML генерирует модель. В дополнение к этому мы также можем видеть, что выходные данные также передаются компьютеру для поиска модели, которую мы обсудим в следующем примере.

Владелец магазина, продающий мороженое, может зависеть от температуры снаружи. Как правило, люди едят больше мороженого, когда жарко, поэтому количество мороженого, продаваемого владельцем магазина, увеличивается с повышением температуры, и наоборот. В последнее время владелец магазина сталкивается с убытками из-за затоваривания или нехватки товаров. Можем ли мы найти оптимальное количество мороженого, которое продавец должен купить на завтра, если температура 20 градусов по Цельсию?
Чтобы решить вышеуказанную проблему, мы можем использовать технику машинного обучения для прогнозирования завтрашних продаж, чтобы владелец магазина не терял денег, покупая меньше или больше мороженого. Во-первых, мы должны найти количество решенного мороженого и среднюю температуру за предыдущую неделю.

В приведенной выше таблице мы ясно видим, что продажи увеличиваются с повышением температуры. Другими словами, мы можем сказать, что продажи зависят от температуры. Во-первых, давайте построим график зависимости температуры от продаж, чтобы увидеть взаимосвязь.

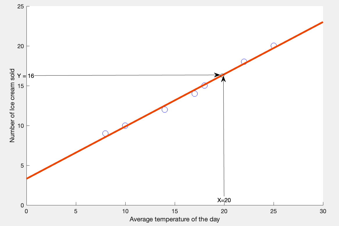
Эта связь напоминает линию. Таким образом, мы можем провести линию, ближайшую к точкам выше.

Чтобы предсказать количество завтрашних продаж, теперь мы можем провести вертикальную линию от 20 градусов по Цельсию и найти соответствующее количество продаж.

Следовательно, вы обнаружили, что завтрашние продажи составят 16 штук мороженого. Это помогает владельцу магазина купить 16 мороженых на следующий день и получить максимальную прибыль. Моделью в этом случае является линия с наклоном (m) = 0,6565 и точкой пересечения с осью y = 3,308. Таким образом, владелец магазина может заранее предсказать любую продажу на следующий день, используя эту линию, которая вышла как результат (модель) этой проблемы.
Поздравляем, вы успешно изучили модель продаж. Здесь мы взяли небольшое количество данных для прогнозирования модели. В реальном сценарии существует большое количество предыдущих данных, которые мы используем для создания модели. Кроме того, мы пытаемся получить наилучшую модель (в данном случае линию), наиболее близкую ко всем точкам. Таким образом, эти два шага помогают нам точно предсказать, какие будут предстоящие события.
Теперь давайте подытожим то, что мы узнали, а также познакомимся с основными терминами и понятиями, которые мы обычно используем в машинном обучении.
- Во-первых, мы знали, что машинное обучение — это процесс предсказания чего-либо на основе предыдущего опыта.
- Количество продаж здесь зависит от температуры, поэтому количество продаж называется «зависимой переменной», а температура называется «независимой переменной». Чтобы сделать это простым, вещь, которую нужно предсказать, — это зависимая переменная.
- Из предыдущих данных мы провели линию, которая вплотную проходит через все точки, поэтому процесс подгонки линии к этим точкам называется «Подгонка линии» или просто «Линейная регрессия».
- И еще раз, машинное обучение в основном принимает входные и выходные данные (в нашем случае температуру и продажи) и создает модель (в нашем случае).
- Наконец, машинное обучение — это подход к поиску модели, которая может предсказывать будущие события на основе текущих событий.